晶振官方博客
更多>>晶體選擇與權衡案例分析
來源:http://m.xlspa.cn 作者:康華爾電子 2020年03月10
晶體選擇與權衡案例分析
如何選擇一顆合適的晶體?相信這是許多工程和采購都在考慮的問題,尤其是在設計新產品時,許多會選擇咨詢供應商,這確實也是一個好辦法,但是對工程來說,自己來了解這些專業知識,會對研發有更大的作用.進口或國產的石英晶體有很多種,品牌多到眼花繚亂,康華爾電子整理了部分相關的知識精講,以及幾個案例,為大家仔細的講解講解.
選擇晶體時需要進行以下權衡:
●可拉性-衡量振蕩器對頻率變化的脆弱性
●能量消耗
●啟動時間-上電后達到穩定振蕩所需的時間
●包裝尺寸
●成本
權衡:可拉性與功耗
具有低可拉性的石英晶體諧振器需要更大的負載電容.每個振蕩周期都必須消耗電容器能量,因此,較大的負載電容器意味著較高的功率損耗.許多微控制器數據手冊都建議為負載電容器提供最大值,以減少驅動電路中的功耗.所以你需要權衡;堅固性或功耗.
需要澄清的是,這種折衷取決于所選晶體的CL要求.而不是CL1和CL2值.如果需要降低功耗或提高可拉性,請選擇需要不同CL的新晶體.
權衡:啟動時間與封裝尺寸
較小的晶體封裝具有較大的ESR.較大的ESR提供較大的臨界增益(gm_crit),從而降低了增益裕度.增益裕度降低意味著晶體需要更長的啟動時間.
交易?成本
有些晶體比其他晶體便宜.我要說的是,價格更高的晶振意味著更好的質量.但這有時是真的.就電容器而言,在皮法拉范圍內,C0G幾乎可用.它們的公差為+/-5%,適用于振蕩器電路.
例1:為STM32設計8MHz晶體振蕩器
讓我們為STM32F427設計一個8MHz的晶體振蕩器電路. 步驟1:選擇水晶
我們對晶體有什么容忍度?
STM32F427數據表規定了以下內容:
1. 對于4-26MHz晶體,Gm_crit_max=1mA/V
2. 頻率公差必須為+/-500ppm或更高
3. 建議將CL1和CL2分別設置在5pF至25pF之間
4. 讓我們從TXC中選擇7A-8.000MAAJ-T.盡管STM32的引腳間距為0.5mm,但SMD晶振的小尺寸允許我們將其放置在靠近STM32的位置.
該晶體具有以下特性:
CL=18pF
ESR=60Ω
頻率穩定性=50ppm
頻率容差=30ppm
C0=7pFmax
驅動電平=500uWmax
步驟2:檢查微控制器是否可以驅動晶體
首先,計算gm_crit:
因此,gm_crit低于Gm_critmax.振蕩器電路將可靠地啟動.
步驟3:晶體可以處理功率損耗嗎?
接下來,大致估算電路的驅動電平:
計算得出的驅動電平低于晶體的最大允許驅動電平500uW.
步驟4:選擇負載電容器CL1和CL2
假設C雜散=5pF(STM32的應用筆記AN2867建議將此作為初始估計值),則:
STM32建議將CL1和CL2保持在25pF以下.供應商僅庫存24pF和27pF電容器;不存在26pF電容器.選擇24pF或27pF電容器都可以.
例2:為ATMEGA328選擇16MHZ石英晶體振蕩器
該芯片似乎很受歡迎.讓我們在其上放一個16MHz的晶體-就像Arduino一樣. 步驟1:選擇水晶
我們對晶體振蕩器的容忍度是多少?
ATMega328數據表規定了以下內容:
1.為了適合安全工作,16MHz的最小電壓為3.78V,如圖3所示.要驅動16MHz時鐘,我們必須在3.78V或更高電壓下運行,為此設計,我們在5V下工作.
2.建議的CL1和CL2分別在12pF至22pF之間 從TXC晶振中選擇9B-16.000MAAE-B.
該晶體具有以下特性:
CL=12pF
ESR=30Ohm
頻率穩定性=30ppm
頻率容差=30ppm
C0=7pFmax
驅動電平=500uWmax
步驟2:檢查微控制器是否可以驅動晶體
ATMega328的數據表中沒有跨導規范.
一旦安裝了PCB,您將必須讓嵌入式開發人員設置正確的保險絲以啟用有源晶振-這在Atmel工作室中很容易做到.
步驟3:晶體可以處理功率損耗嗎?
接下來,大致估算電路的驅動電平:
驅動器級別估計過高.但是,一旦選擇了CL1并表明設計的功耗是可以忍受的,我們就可以改善這一估計.
步驟4:選擇負載電容器CL1和CL2
假設C雜散=5pF,則:
AVX出售適用于該電路的一系列14pFC0G陶瓷電容器.
額外步驟:改善DL估算
從AN2867開始,
這使Ctot=16.5pF,DLESTIMATE=258uW.
我通常不使用此方程式的原因是,它要求在檢查驅動器級別之前已知CL1.如果來自初始估算的驅動電平很小,通常可以使用上面的公式來表明您的進口晶振選擇是合適的.
晶體選擇與權衡案例分析
如何選擇一顆合適的晶體?相信這是許多工程和采購都在考慮的問題,尤其是在設計新產品時,許多會選擇咨詢供應商,這確實也是一個好辦法,但是對工程來說,自己來了解這些專業知識,會對研發有更大的作用.進口或國產的石英晶體有很多種,品牌多到眼花繚亂,康華爾電子整理了部分相關的知識精講,以及幾個案例,為大家仔細的講解講解.
選擇晶體時需要進行以下權衡:
●可拉性-衡量振蕩器對頻率變化的脆弱性
●能量消耗
●啟動時間-上電后達到穩定振蕩所需的時間
●包裝尺寸
●成本
權衡:可拉性與功耗
具有低可拉性的石英晶體諧振器需要更大的負載電容.每個振蕩周期都必須消耗電容器能量,因此,較大的負載電容器意味著較高的功率損耗.許多微控制器數據手冊都建議為負載電容器提供最大值,以減少驅動電路中的功耗.所以你需要權衡;堅固性或功耗.
需要澄清的是,這種折衷取決于所選晶體的CL要求.而不是CL1和CL2值.如果需要降低功耗或提高可拉性,請選擇需要不同CL的新晶體.
權衡:啟動時間與封裝尺寸
較小的晶體封裝具有較大的ESR.較大的ESR提供較大的臨界增益(gm_crit),從而降低了增益裕度.增益裕度降低意味著晶體需要更長的啟動時間.
交易?成本
有些晶體比其他晶體便宜.我要說的是,價格更高的晶振意味著更好的質量.但這有時是真的.就電容器而言,在皮法拉范圍內,C0G幾乎可用.它們的公差為+/-5%,適用于振蕩器電路.
例1:為STM32設計8MHz晶體振蕩器
讓我們為STM32F427設計一個8MHz的晶體振蕩器電路. 步驟1:選擇水晶
我們對晶體有什么容忍度?
STM32F427數據表規定了以下內容:
1. 對于4-26MHz晶體,Gm_crit_max=1mA/V
2. 頻率公差必須為+/-500ppm或更高
3. 建議將CL1和CL2分別設置在5pF至25pF之間
4. 讓我們從TXC中選擇7A-8.000MAAJ-T.盡管STM32的引腳間距為0.5mm,但SMD晶振的小尺寸允許我們將其放置在靠近STM32的位置.
該晶體具有以下特性:
CL=18pF
ESR=60Ω
頻率穩定性=50ppm
頻率容差=30ppm
C0=7pFmax
驅動電平=500uWmax
步驟2:檢查微控制器是否可以驅動晶體
首先,計算gm_crit:
因此,gm_crit低于Gm_critmax.振蕩器電路將可靠地啟動.
步驟3:晶體可以處理功率損耗嗎?
接下來,大致估算電路的驅動電平:
計算得出的驅動電平低于晶體的最大允許驅動電平500uW.
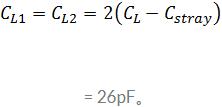
步驟4:選擇負載電容器CL1和CL2
假設C雜散=5pF(STM32的應用筆記AN2867建議將此作為初始估計值),則:
STM32建議將CL1和CL2保持在25pF以下.供應商僅庫存24pF和27pF電容器;不存在26pF電容器.選擇24pF或27pF電容器都可以.
例2:為ATMEGA328選擇16MHZ石英晶體振蕩器
該芯片似乎很受歡迎.讓我們在其上放一個16MHz的晶體-就像Arduino一樣. 步驟1:選擇水晶
我們對晶體振蕩器的容忍度是多少?
ATMega328數據表規定了以下內容:
1.為了適合安全工作,16MHz的最小電壓為3.78V,如圖3所示.要驅動16MHz時鐘,我們必須在3.78V或更高電壓下運行,為此設計,我們在5V下工作.
2.建議的CL1和CL2分別在12pF至22pF之間 從TXC晶振中選擇9B-16.000MAAE-B.
該晶體具有以下特性:
CL=12pF
ESR=30Ohm
頻率穩定性=30ppm
頻率容差=30ppm
C0=7pFmax
驅動電平=500uWmax
步驟2:檢查微控制器是否可以驅動晶體
ATMega328的數據表中沒有跨導規范.
一旦安裝了PCB,您將必須讓嵌入式開發人員設置正確的保險絲以啟用有源晶振-這在Atmel工作室中很容易做到.
步驟3:晶體可以處理功率損耗嗎?
接下來,大致估算電路的驅動電平:
驅動器級別估計過高.但是,一旦選擇了CL1并表明設計的功耗是可以忍受的,我們就可以改善這一估計.
步驟4:選擇負載電容器CL1和CL2
假設C雜散=5pF,則:
AVX出售適用于該電路的一系列14pFC0G陶瓷電容器.
額外步驟:改善DL估算
從AN2867開始,
這使Ctot=16.5pF,DLESTIMATE=258uW.
我通常不使用此方程式的原因是,它要求在檢查驅動器級別之前已知CL1.如果來自初始估算的驅動電平很小,通常可以使用上面的公式來表明您的進口晶振選擇是合適的.
晶體選擇與權衡案例分析
正在載入評論數據...
相關資訊
- [2023-09-26]臺灣SIWARD晶振有著領先全球的光蝕刻制...
- [2023-07-12]淺談決定差分石英晶體振蕩器的振蕩頻率...
- [2023-06-27]SMD時鐘硅振蕩器從0/+70°c到-55/+125°...
- [2023-06-20]GPS接收器專用溫補晶體振蕩器C34-040.0...
- [2023-06-17]Cardinal石英晶體CSM1Z-A5B2C5-40-25.0...
- [2023-06-13]Aker音叉晶體CTS3-32.768-9-20-R為何開...
- [2023-02-16]具備高品質的石英晶體用于無線通信CS-0...
- [2022-09-16]EPSON蘋果手機無線充電器專用晶振Q3805...
- [2022-08-04]Abracon生產非常適合微處理器的時鐘晶體...
- [2022-08-03]西迪斯設計出獨特性能的小型化時鐘振蕩...
- [2022-08-02]村田首推用于消費級的陶瓷諧振器CSTLS8...
- [2022-07-22]常用編碼KC3225K12.0000C1GE00是一款微...


銷售代表
售后服務